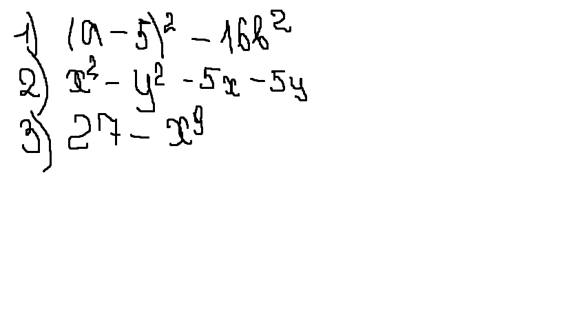
• 1)Представьте в виде произведения:
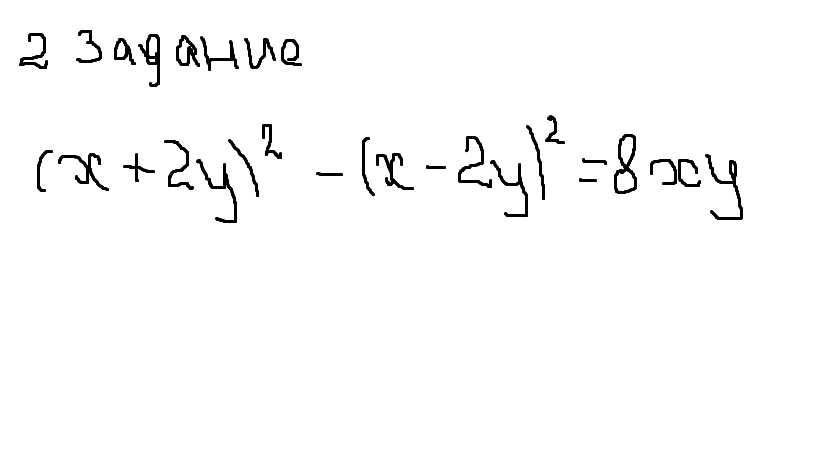
    2) Докажите тождество:
    Заранее спасиБо, 30 баллов

    question img
    question img

Ответы 1

  • ))))))))))))))))))))))))))))))))))))))))))))))))))))))))))))
    answer img
  • Добавить свой ответ

Еще вопросы

Войти через Google

или

Забыли пароль?

У меня нет аккаунта, я хочу Зарегистрироваться

How much to ban the user?
1 hour 1 day 100 years