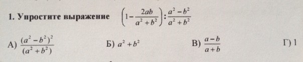
• Помогите упростить выражение,прошу.....
    Смотрите саму фотку...

    question img

Ответы 2

  • Да,спасибо огромное.
    • Автор:

      midgelevs
    • 6 лет назад
    • 0
  • Надеюсь, что хорошо видно с:
    answer img
  • Добавить свой ответ

Войти через Google

или

Забыли пароль?

У меня нет аккаунта, я хочу Зарегистрироваться

How much to ban the user?
1 hour 1 day 100 years