• Показательные неравенства. Решить.
    Было бы замечательно если бы отвечали с фотографиями, так будет проще мне)

    question img
    question img

Ответы 5

  • А по второй фотографии сможешь?
    • Автор:

      timber
    • 6 лет назад
    • 0
  • Спасибо огромное!
  • Спасибо!
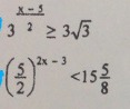
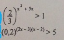
  • 3 ^ ( ( x - 5 )/2 ) ≥ 3√ 3 3 ^ (( x - 5 )/2 ) ≥ 3 ^ 3/2 ( x - 5 ) / 2 ≥  3 / 2 x - 5 ≥ 3 x ≥ 8 Ответ [ 8 ; + ∞ ) -----------------------------------( 5/2 ) ^ ( 2x - 3 ) < 15 5/8 ( 5/2 ) ^ ( 2x - 3 ) < 125/8 ( 5/2 ) ^ ( 2x - 3 ) < ( 5/2 ) ^ 3 2x - 3 < 3 2x < 6 x < 3 Ответ ( - ∞ ; 3 ) ----------------------------------------( 2/3 ) ^ ( x^2 + 5x ) > 1 ( 2/3 ) ^ ( x ^2 + 5x ) < ( 2/3 ) ^ 0 x^2 + 5x < 0 x( x + 5 ) < 0 x < 0 x < - 5 ---------------------------------------( 0,2 ) ^ ( 2x - 3 )( x - 2 ) < 5 5 ^ ( - ( 2x - 3 )( x - 2 )) > 5 ^ 0 ( - 2x + 3 )( x - 2 ) > 0 - 2x^2 + 4x + 3x - 6 > 0 - 2x^2 + 7x - 6 > 0 D = 49 - 48 = 1 x1 = ( - 7 + 1 ) : ( - 4 ) = 1,5 x2 = ( - 7 - 1 ) : ( - 4 ) = 2 
  • .........................ъ......
    answer img
  • Добавить свой ответ

Еще вопросы

Войти через Google

или

Забыли пароль?

У меня нет аккаунта, я хочу Зарегистрироваться

How much to ban the user?
1 hour 1 day 100 years