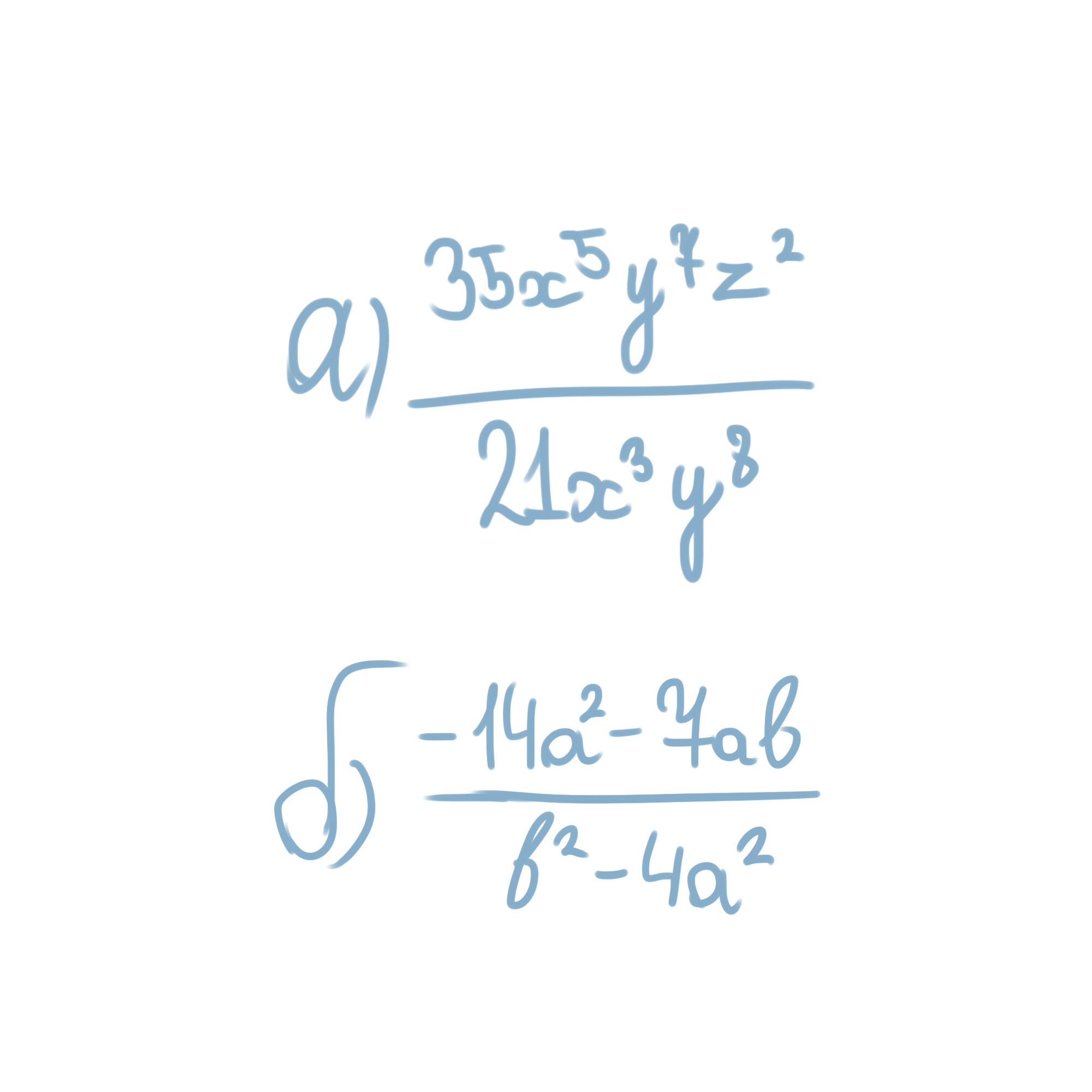
• Сократите 2 дроби.
    Файл с примерами прикреплен.

    question img

Ответы 1

  • 35*х^5*y^7*z^2/21x^3*y^8=5x^2y^-1z^2/3б)-14а²-7ab/b²-4a²=7a(2a-b)/(b-2a)(b+2a)=7a/b+2a
  • Добавить свой ответ

Войти через Google

или

Забыли пароль?

У меня нет аккаунта, я хочу Зарегистрироваться

How much to ban the user?
1 hour 1 day 100 years