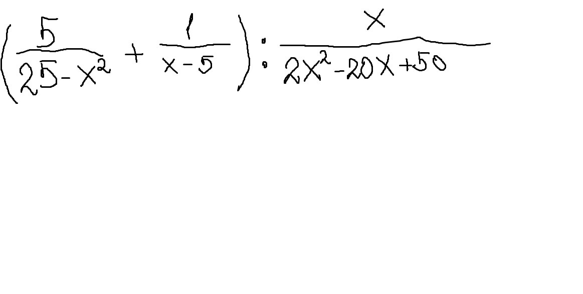
• Упростите выражение. По подробнее ,если можно. Давно такие не делала, хочу сама понять.

    question img

Ответы 1

  • 1)5\(5-х)(5+х)-(5-х)\(5-х)(5+х)=5-5+х)\25-х в2=х\25-х в22)х\(25-х в2):х\(2х  в2-20х+50)=х\(25-х в2):6.25\х= 6.25\25-х в22х в2-20х+50не равно 0Д=(-20) в2-4*2*50=400-400=0Х=-в\4а=20\4*2=2.5не уверена
  • Добавить свой ответ

Войти через Google

или

Забыли пароль?

У меня нет аккаунта, я хочу Зарегистрироваться

How much to ban the user?
1 hour 1 day 100 years