• Нужно довести уравнение до конца!
    Помогите пожалуйста! Прошуууу!
    Очень прошу!!!

    question img

Ответы 1

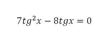
  • 7tg²x - 8tgx = 0tgx(7tgx - 8) = 01) tgx = 0x₁ = πk, k∈Z2)  7tgx - 8 = 0tgx = 8/7x₂ = arctg(8/7) + πn, n∈Z
  • Добавить свой ответ

Войти через Google

или

Забыли пароль?

У меня нет аккаунта, я хочу Зарегистрироваться

How much to ban the user?
1 hour 1 day 100 years