• Решите , желательно на тетрадном листе , либо в граф.редакторе.

    question img

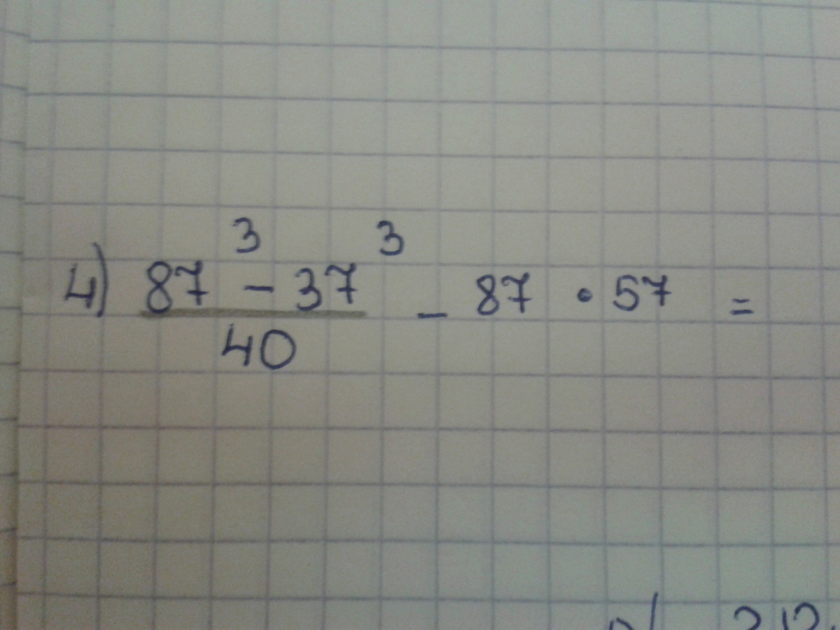
Ответы 1

  • 658503-50563/40-4959=607940/40-4959=15198.5-4959=10239.5 места слеша пишеш ----- деление
  • Добавить свой ответ

Войти через Google

или

Забыли пароль?

У меня нет аккаунта, я хочу Зарегистрироваться

How much to ban the user?
1 hour 1 day 100 years