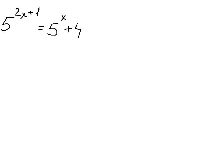
• Помогите пожалуйста решить уравнение методом введения новой переменной и приведению к квадратному уравнению

    question img

Ответы 2

  • а почему мы пишем 5^2х*5? Откуда появилась пятерка и куда делась однерка? Объясните, пожалуйста
  • При умножении показатели степеней складываются, поэтому, 5^2x+1=5^2x*5^1
  • Добавить свой ответ

Еще вопросы

Войти через Google

или

Забыли пароль?

У меня нет аккаунта, я хочу Зарегистрироваться

How much to ban the user?
1 hour 1 day 100 years