Памогите решить логорифмическое уровнение само уровнение на картинке если можете конечно.
Предмет:
АлгебраАвтор:
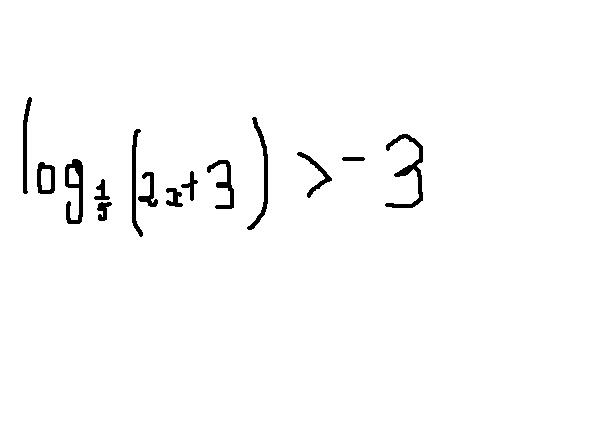
twiggydscf ОДЗ:
- убывающая
Ответ: (-1,5; 61)
Автор:
malachidr5oДобавить свой ответ
запишите пример решением которого была бы такая последовательность действий:
447-22=425
425х6=2550
2590+450=3000
Предмет:
МатематикаАвтор:
jrjz21Ответов:
Смотреть
в октябре было 12 ясных дней.какую часть октября составили ясные дни?
Предмет:
МатематикаАвтор:
teagansuarezОтветов:
Смотреть
№585.Какие числа, делящиеся на 3, заключены между числами 560 и 580?
Предмет:
МатематикаАвтор:
rafael3Ответов:
Смотреть
В чём состоит специфика развития Китая в период после 2-й мировой войны?