ПОмогите с уровнением само уровнение на картинке очень нада памагите.
помочь сделать твою запись "ровной" не смогу. а вот уравнять можно.
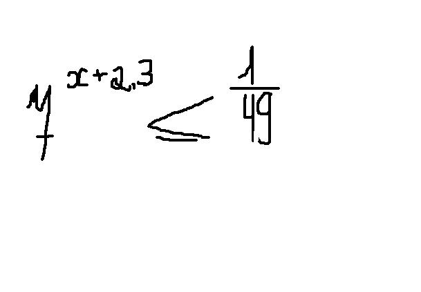
7^(x+2,3)<=7^(-2)
x+2,3<=-2
x<=-4,3
Автор:
beatriz1\49 это 7 в -2 степени. теперь ты убираешь основание и считаешь линейное уравнинение х -2,3 менньше или равно -2 отсюда получаешь что х меньше или равен 4.3
Автор:
everett57Добавить свой ответ
В равнобедренной трапеции угол при основании равен 45 градусов, а высота равнаменьшему основанию. Найдите площадь трапеции, если большее основание равно 12 см.
Предмет:
ГеометрияАвтор:
kayliesuttonОтветов:
Смотреть
Дана функция y=f(x),где f(x)=x-4.Найдите все значения x,при которых справедливо неравенство:f(x^2)*f(x+7) <или=0.
установлению межличностных отношений пркпятствуют: 1)совпадение вкусов 2)симпатия 3)сочувствие 4)замкнутость
Предмет:
ОбществознаниеАвтор:
barreraОтветов:
Смотреть
Помогите,моему ребёнку задали сделать соченение по русскому языку
Предмет:
Русский языкАвтор:
leandrocomptonОтветов:
Смотреть