• Помогите пожалуста....Знайдіть область визначення функції.на фото есть завтра контролная

    question img

Ответы 2

  • Если спросят , ты методом интервалов решал
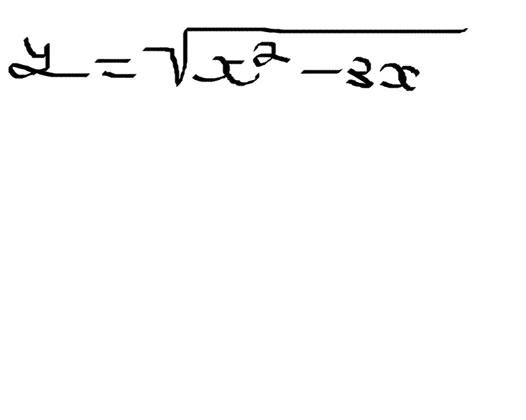
  •  x^{2} -3x \geq 0
x(x-3) \geq 0x принадлежит от (минус бесконечности ; 0 ] и [3; до плюс бесконечности ) Все 
  • Добавить свой ответ

Еще вопросы

Войти через Google

или

Забыли пароль?

У меня нет аккаунта, я хочу Зарегистрироваться

How much to ban the user?
1 hour 1 day 100 years