• Докажите тождество. Объясните все доступно и понятно, пожалуйста.

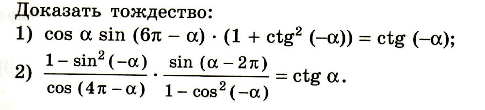
    question img

Ответы 3

  • Спасибо!Сейчас буду разбираться.
  • 1)сosa*(-sina)*1/sin²a=-cosa/sina=-ctgactg(-a)=-ctga-ctga=-ctga2)cos²a/cosa *sina/sin²a=cosa/sina=ctgactga=ctga
    • Автор:

      gasbypaul
    • 6 лет назад
    • 0
  • ⇒1) разберем некоторые компоненты этого тождества. а) sin(6π-α)=sin (-α), т.к. 2π-это полный период синуса, 6π-это три полных периода, их можно отбросить, значение функции не изменится. sin (-α)=-sin α, т.к. синус функция нечетная⇒ sin(6π-α)=-sin α;б)Раз вы знаете формулы, то вам известно формула 1+ ctg²α=1/sin²α; выражение в скобках почти такое же , как левая часть этой формулы, но там угол -α, разберем ctg(-α)=-ctgα, т.к.котангенс функция нечетная, но в скобках у нас котангенс в квадрате, поэтому ctg²(-α)=(-ctgα)²=ctg²α. Т.о. выражение в скобках полностью равно левой части известной вам формулы 1+ ctg²α= 1/sin²αПодставим теперь все что мы нашли в левую часть исходного тjждества⇒cosα*(-sin α)*(1/sin²α)=ctg(-α);  сократим слева дробь на sinα⇒-cosα/sin α=ctg(-α)⇒ -ctgα=-ctgα.

    2)  во втором тождестве периоды 2π и 4π, используешь то, что sin²(-α)=sin²α, cos²(-α)=cos²α. Подставляешь все в тождество:((1-sin²α)/cosα)*(sinα/(1-cos²α))=ctgα⇒(cos²α/cosα)*(sinα/sin²α)=ctgα⇒cosα/sinα=ctgα⇒ctgα=ctgα

    • Автор:

      pregoihvt
    • 6 лет назад
    • 0
  • Добавить свой ответ

Войти через Google

или

Забыли пароль?

У меня нет аккаунта, я хочу Зарегистрироваться

How much to ban the user?
1 hour 1 day 100 years