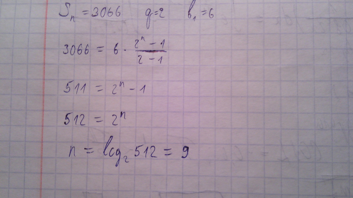
• Сколько членов геометрической прогрессии 6 12 24 .... надо сложить, чтобы полученная сумма была равна 3066

Ответы 1

  • Основная формула S_n=b_1 \frac{1-q^n}{1-q} = b_1 \frac{q^n-1}{q-1}, q \neq 1. Решение этого примера сведется к решение показательного уравнения
    answer img
    • Автор:

      kujo2q24
    • 2 года назад
    • 3
  • Добавить свой ответ

Войти через Google

или

Забыли пароль?

У меня нет аккаунта, я хочу Зарегистрироваться

How much to ban the user?
1 hour 1 day 100 years