Решить уравнение ( решение можно нарисовать в point и добавить во вложение, это если что)))))))
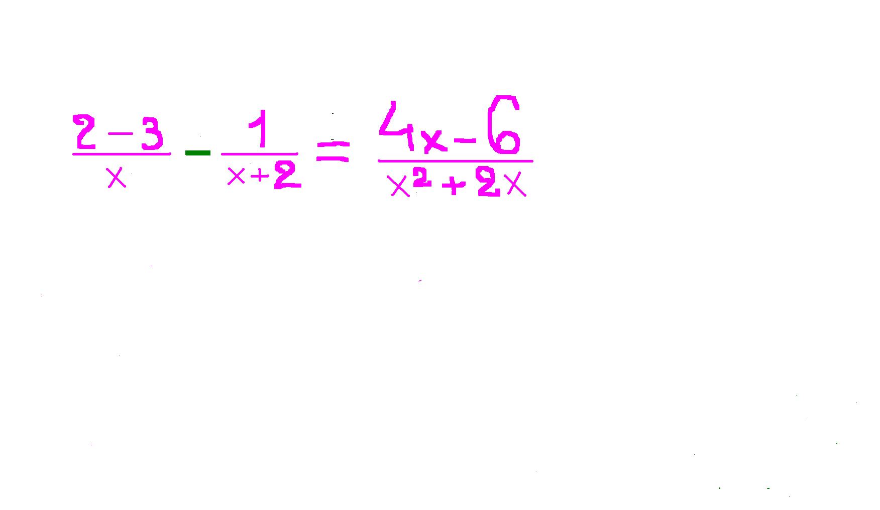
2x - 3 1 4x-6
_______ - ______ = _________
x x+2 x ² + 2x
Раскладываем знаменатель третьей дроби на х*(х+2). Приводим к общему знаменателю х*(х+2):
((2х-3)*(х+2) - х - 4х+6)/(х*(х+2))
Знаменатель можно отбросить.
2х^2 + х - 6 - 5х + 6=0
2х^2 - 4x = 0
Делим на 2.
x^2 - 2x = 0
x*(x-2) = 0
x1=0, x2=2
Автор:
mckenziemcdowellПодробное решение, расписаное:
Автор:
valentina80Добавить свой ответ
название кокого животного состоит из семи букв,первая буква д,третия л?
Предмет:
ОбществознаниеАвтор:
damonps3uОтветов:
Смотреть
Прямая y=kx+b проходит через точки А и В .Найдите числа k и b и запишите уравнения е этой прямой ,если А(2;-5),В(0;1)
Предмет:
АлгебраАвтор:
charmerperkinsОтветов:
Смотреть
Заполните пропуски в тексте. Напишите, о каком событии идет речь
В Кремле медленно и чинно двигалась процессия. Из великокняжеского дворца она напрвлялась к главному __________ собору, отстроенному при Иване 3. В тяжелых меховых шубах - соболиных, горностаевых, бельчьих, крытых по-восточному шелками с яркими разводами, по итальянским бархатом, то фландрским сукном, - плавно двигались ________. В толпе зрителей кафтаны __________. и гостей перемежались сермягами ______и холопов. Завороженная великолепием шествия и серьёзностью происходящего толпа застыла. Это было 16 января 1547 года. _________________________________.
Предмет:
Русский языкАвтор:
kristiantrujilloОтветов:
Смотреть
Решите уравнение
19x+16=23(x-2)+26
Предмет:
АлгебраАвтор:
lucille68brОтветов:
Смотреть