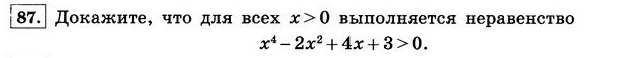
• Нужна помощь! 9 класс. Алгебра. ОБЯЗАТЕЛЬНО ОТМЕЧУ ЛУЧШИЙ ОТВЕТ.

    question img

Ответы 2

  • Это гениально! Я тупой.. Спасибо!
  • Всегда приходит осмысление, что ты мог сделать так же, но ты ужасно ступил.. Еще раз спасибо.
    • Автор:

      román15
    • 6 лет назад
    • 0
  • Добавить свой ответ

Войти через Google

или

Забыли пароль?

У меня нет аккаунта, я хочу Зарегистрироваться

How much to ban the user?
1 hour 1 day 100 years