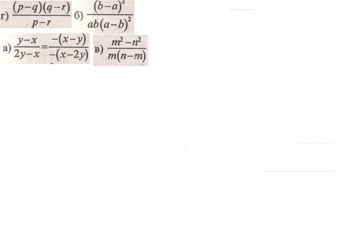
При выполнении преобразования была допущена ошибка.
Найдите её и дайте правельный ответ.
Предмет:
АлгебраАвтор:
keenankerrпод а) все верно, а остальных не вижу
Автор:
breeanДобавить свой ответ
В школе 1260 учеников ,Одна третья часть всех учеников изучают немецкий,две седьмых части всех учеников -французкий ,а остальные ученики английский сколько учеников изучают английский
Предмет:
МатематикаАвтор:
raelynnmaddoxОтветов:
Смотреть
Предмет:
АлгебраАвтор:
geovannimveuОтветов:
Смотреть
Под действием ------------------фибриноген плазмы крови превращается в---------------.
Периметр равнобедренного треугольника равен 44 см. Найдите стороны треугольника, если его основание на 4 см меньше боковой стороны.
Предмет:
ГеометрияАвтор:
brycenofmmОтветов:
Смотреть