• Решить тригонометрическое уравнение.

    Я сама вроде как решила, проблема возникает с определением, какие екорни нужные, а какие не очень. Если не сложно, объясните это с помощью решения ур-ия по ОДЗ, а не с помощью подстановки полученных корней в ур-ие ОДЗ.

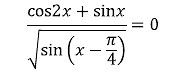
    question img

Ответы 2

  • Интересный способ с ОДЗ, спасибо.
  • ОДЗsin(x-π/4)>02πn<x-π/4<π+2πnπ/4+2πn<x<5π/4+2πncos2x+sinx=01-2sin²x+sinx=0sinx=a2a²-a-1=0D=1+8=9a1=(1-3)/4=-1/2⇒sinx=-1/2⇒x=(-1)^n+1*π/6+πn∉ОДЗa2=(1+3)/4=1⇒sinx=1⇒x=π/2+2πn
    • Автор:

      madilyn
    • 6 лет назад
    • 0
  • Добавить свой ответ

Войти через Google

или

Забыли пароль?

У меня нет аккаунта, я хочу Зарегистрироваться

How much to ban the user?
1 hour 1 day 100 years