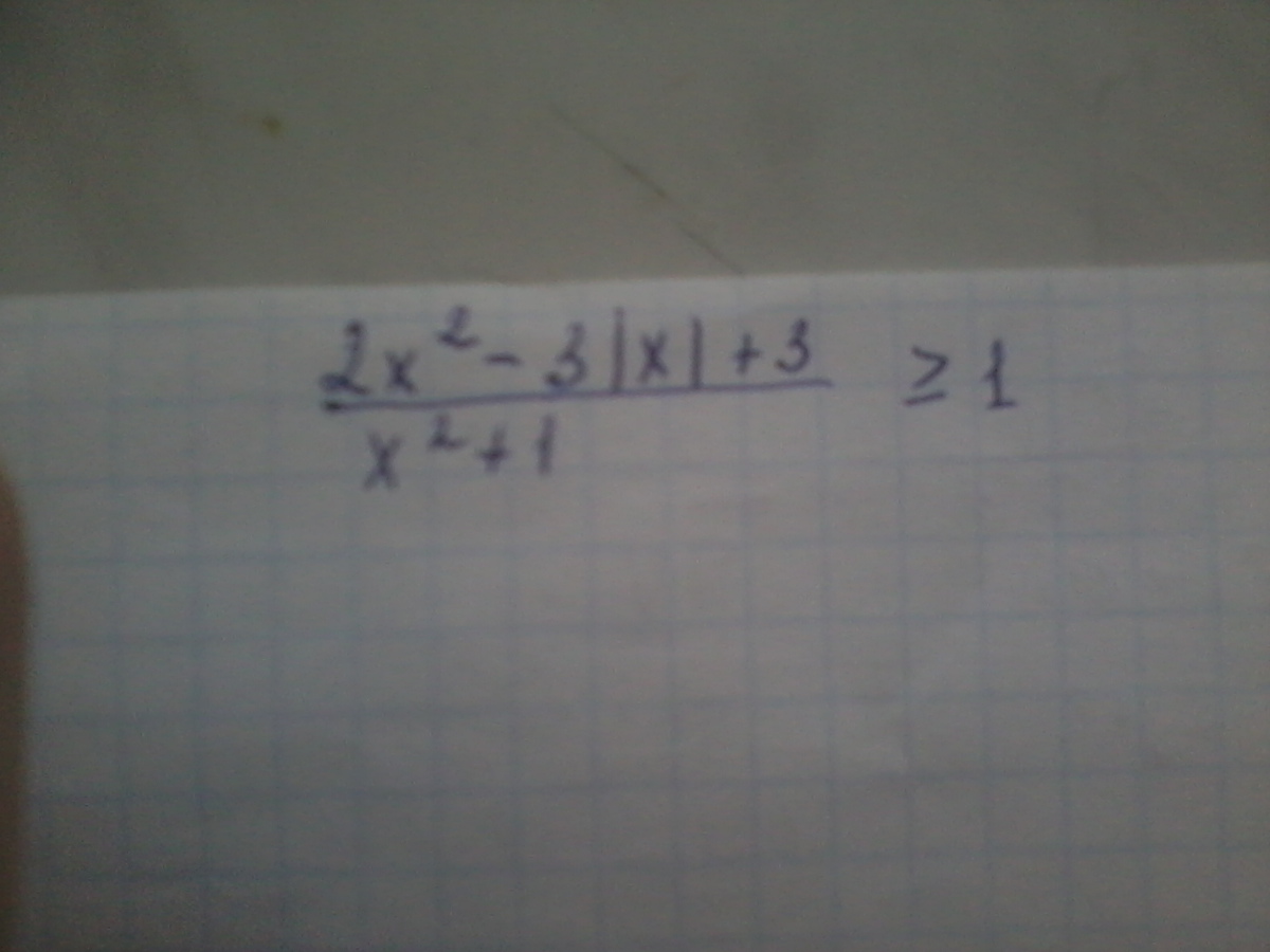
• помогите пожалуйста решить неравенство(плачу за срочность)

    question img

Ответы 2

  • спасибо большое!
    • Автор:

      ellice
    • 6 лет назад
    • 0
  • Смотрите решение в прикреплённом файле.
    answer img
  • Добавить свой ответ

Войти через Google

или

Забыли пароль?

У меня нет аккаунта, я хочу Зарегистрироваться

How much to ban the user?
1 hour 1 day 100 years