• Алгебра ОГЭ
    Пример во вложении

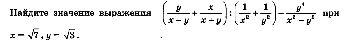
    question img

Ответы 1

  • 1)y/(x-y)+x(x+y)=(xy+y²+x²-xy)/(x²-y²)=(x²+y²)/(x²-y²)2)1/x²+1/y²=(x²+y²)/x²y²3)(x²+y²)/(x²-y²):(x²+y²)/x²y²=(x²+y²)/(x²-y²)*x²y²/(x²+y²)=x²y²/(x²-y²)4)x²y²/(x²-y²) -y^4/(x²-y2)=(x²y²-y^4)/(x²-y²)=y²(x²-y²)/(x²-y²)=y²y=√3  (√3)²=3
  • Добавить свой ответ

Войти через Google

или

Забыли пароль?

У меня нет аккаунта, я хочу Зарегистрироваться

How much to ban the user?
1 hour 1 day 100 years