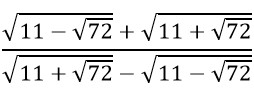
• Найти значение выражения. В ответах книги получилось [tex] 1,5\sqrt{2} [/tex] а у меня [tex] 4,5\sqrt{2} [/tex] . Хочется узнать кто прав. Если права книга, будьте добры скинуть решение

    question img

Ответы 2

  • Смотрите решение в прикреплённом файле.
    answer img
    • Автор:

      bowest
    • 6 лет назад
    • 0
  • решаем. домножаем числителе и знаменатель на сопряженное выражение к знаменателю(11-sqrt (72)+2sqrt (121-72)+11+sqrt (72))/(11+sqrt (72)-11+sqrt(72))=(22+2*7)/(2sqrt (72))=36/12sqrt (2)=3/sqrt (2)
    answer img
  • Добавить свой ответ

Войти через Google

или

Забыли пароль?

У меня нет аккаунта, я хочу Зарегистрироваться

How much to ban the user?
1 hour 1 day 100 years