решите пожалуйста. срочно надо. завтра контрольная. я все еще не могу решить.
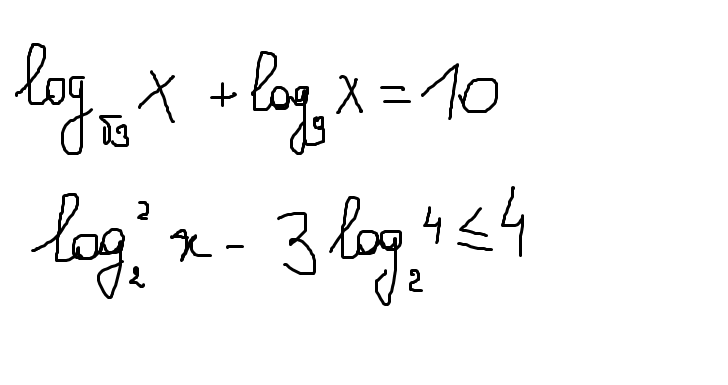
log (3^1/2)x+log(3^2)x=10
2log3 x+ 1/2 log3 x=10
5/2log3 x=10
log3 x=10*2/5
log3 x= 4
x=3^4
x=81
log^2 2 x-3*2<=4
log^2 2 x -10<=0
(log2 x- корень из 10)(log2 x+ корень из 10)<=0
log2 x= корень из 10 log2 x=- корень из 10
x=2^корень из 10 x=2^-корень из 10 x=(1/2)^корень из 10
xe ( (1/2)^корень из 10, 2^корень из 10)
Автор:
tomcatxzjwДобавить свой ответ
Найдите предложение с ПУНКТУАЦИОННЫМИ ОШИБКАМИ.
1)Белые облака, бор, тянувшийся по сторонам дороги – все радовало глаз.
2)Ночью месяц тускл, и поле сквозь туман лишь серебрит.
3)По вечерам дедушка смотрел телевизор, или читал, или уходил в театр, или к соседу поиграть в шахматы.
4)Желтая акация и сирень, растущие в наших садах - декоративные кустарники.
Предмет:
Русский языкАвтор:
jeramiahupb2Ответов:
Смотреть
решите
(а+в)*(а-в)*(а+в)
Предмет:
АлгебраАвтор:
double doubleОтветов:
Смотреть
Найдите по формуле для нахождения периметра прямоугольника: 1) периметр P,если a = 15 см, и = 25 см; 2) сторону a,если P = 122 м, b = 34 м. Заранее спасибо всем).
Предмет:
МатематикаАвтор:
alicialewisОтветов:
Смотреть