завтра контрольная. вот еще один пример помогите решить.. а то завалю все....
Предмет:
АлгебраАвтор:
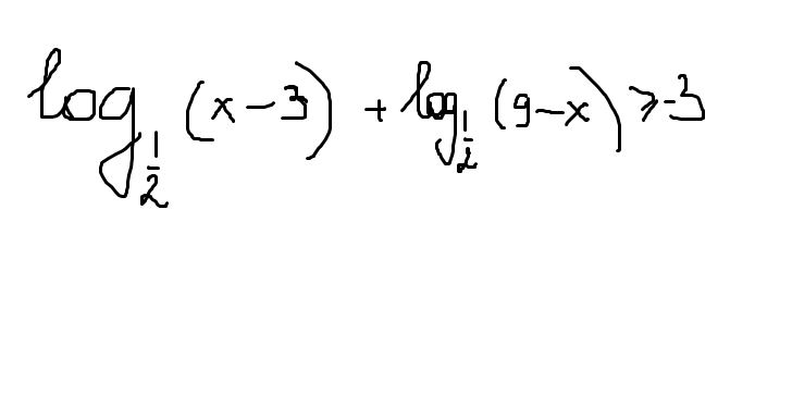
conorburnettlog1/2(x-3)(9-x)>=-3
[2^(-1)]^(-3)=8
(x-3)(9-x)<=8
12x-27-x^2<=8
x^2-12x+35>=0
x=7 x=5
область определения x>3 x<9 (3;9)
x<5 U x>7
(3;5] U [7;9)
Автор:
louisaДобавить свой ответ
arccos 0 +arctg(корень)3/3: arctg(-1)-arccos(корень)3/2:
Предмет:
АлгебраАвтор:
alonso6ujrОтветов:
Смотреть
можно ли считать войну Алой и Белой розы важным шагом на пути укрепления королевской власти в Англии?
Предмет:
ИсторияАвтор:
ashantiirwinОтветов:
Смотреть
как называются оголенные пески пустынь
Предмет:
ГеографияАвтор:
finnegan55Ответов:
Смотреть
сколько сторон имеет правильный многоугольник,если величина одного из его углов равна 144 градуса?
1.-9
2.-10
3.-12
4.-8.
спасибо)
Предмет:
АлгебраАвтор:
nathalymdckОтветов:
Смотреть