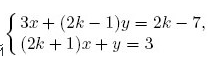
• 91. При каком значении k система уравнений имеет бесконечно много решений?

    question img

Ответы 1

  • 3/(2k+1)=(2k-1)/1=(2k-7)/31)3/(2k+1)=(2k-1)/14k²-1=34k²=4k²=1k=-1 U k=12)3/(2k+1)=(2k-7)/34k²-14k+2k-7-9=04k²-12k-16=0k²-3k-4=0k1+k2=3 U k1*k2=-4k1=-1 U k2=4Ответ к=-1
    • Автор:

      bully
    • 6 лет назад
    • 0
  • Добавить свой ответ

Войти через Google

или

Забыли пароль?

У меня нет аккаунта, я хочу Зарегистрироваться

How much to ban the user?
1 hour 1 day 100 years