• Найдите значение выражения (Помогите пожалуйста!)
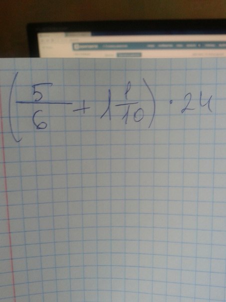
    (5/6+1 1/10)*24=

    question img

Ответы 1

  • (5/6+1 1/10) *24=(50/60+66/60)*24=116/60*24=29/15*24/1=46 2/5=46.4
  • Добавить свой ответ

Войти через Google

или

Забыли пароль?

У меня нет аккаунта, я хочу Зарегистрироваться

How much to ban the user?
1 hour 1 day 100 years