• Не знаю как дальше решать( и правильно ли я решила ?

    question img

Ответы 1

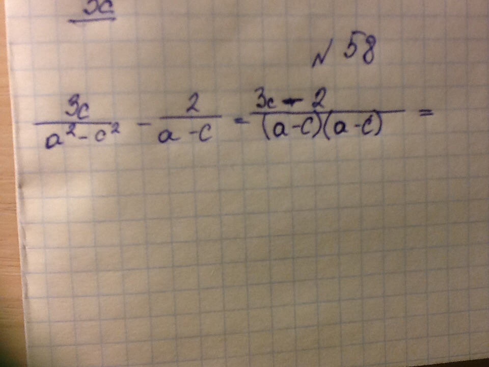
  •  \frac{3c}{a ^{2}-c ^{2}  } - \frac{2}{a-c} = \frac{3c}{(a-c)(a+c)} - \frac{2}{a-c} 
Общий знаменатель: (а-с)(а+с)Значит вторую дробь домножаем на (а+с): \frac{3c-2a-2c}{a  ^{2}-c ^{2}  } = \frac{c-2a}{a ^{2}-c ^{2}  }
    • Автор:

      mathews
    • 6 лет назад
    • 0
  • Добавить свой ответ

Еще вопросы

Войти через Google

или

Забыли пароль?

У меня нет аккаунта, я хочу Зарегистрироваться

How much to ban the user?
1 hour 1 day 100 years