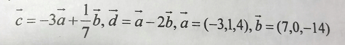
• Найти скалярное произведение вексторов c и d и угол между ними

    question img

Ответы 1

  • скидываю решений, в котором найдены координаты векторов с и д, их скалярное произведение и угол между этими векторами
    • Автор:

      india46
    • 6 лет назад
    • 0
  • Добавить свой ответ

Войти через Google

или

Забыли пароль?

У меня нет аккаунта, я хочу Зарегистрироваться

How much to ban the user?
1 hour 1 day 100 years