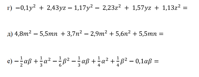
• выполните приведение подобных слагаемых
    ПОМОГИТЕ СРОЧНО ПОЖАЛУЙСТА

    question img

Ответы 1

  • -1.27y²+4yz-1.1z²1.9m²+9.3n²-11/60αβ+7/12α²-1/12β²
  • Добавить свой ответ

Войти через Google

или

Забыли пароль?

У меня нет аккаунта, я хочу Зарегистрироваться

How much to ban the user?
1 hour 1 day 100 years