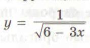
т.к. Вычислить корень из отрицательно числа нельзя то (6-3х) должно быть больше либо равно нулю. но так как на ноль делить нельзя то (6-3х) должно быть больше нуля.
6-3х>0
6>3x
2>x
x<2
О.О.Ф. (-беск. ; 2)
Автор:
yogiДобавить свой ответ
мы вышли в крошечный двор при соборе. собор стоял на вершине отвесной скалы. простым глазом были видны струйки горячего воздуха поднимавшиеся около нас к небу и окружавшие собор зыбкой дрожащей стеной. безмолвие лежало окрест. воздух был так чист что никто не мог нарушить это безмолвие. никакой звук не мог пробить эту толщу зноя и можно было только с завистью представлять себе как где-то за 200 километров отсюда набегает на берега прохладная черноморская вода. в соборе мы не нашли ни какой капли воды. что пили обитатели этой неприступной крепости понять было нельзя. мне повезло. в алтаре на окне лежала окаменевшая пылью маленькая книга. я взял её. вернее я осторожно отодрал её от мраморного подоконника и открыл. ПОЖАЛУЙСТА ПРОДОЛЖИТЕ ТЕКСТ ЧТО ОН УВИДЕЛ ПРОЧИТАЛ В ЭТОЙ КНИГЕ..
Предмет:
Русский языкАвтор:
gretchenluceroОтветов:
Смотреть
Предмет:
МатематикаАвтор:
miriamxxzqОтветов:
Смотреть
найдите 15процентов от числа 34
Предмет:
АлгебраАвтор:
deeestradaОтветов:
Смотреть
Война и Мир. Как ведет себя князь Андрей в шенграбенском сражение?
И в каких это главах описанно напишите пожалуйста.=)
Предмет:
ЛитератураАвтор:
treynb4pОтветов:
Смотреть