• Разложите на множители
    Забыла последнее действие
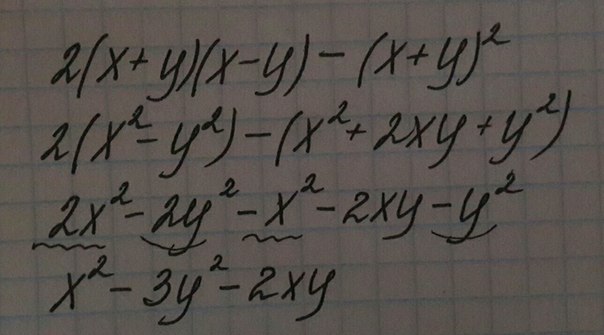
    Помогиите, пожалуйста

    question img

Ответы 2

  • Большое спасибо)
    • Автор:

      doticmp
    • 6 лет назад
    • 0
  • здесь надо решать иначе 2(х²-у²)-(х+у)²=2(х+у)(х-у)-(х+у)²      вынесем общий множитель (х+У)(2(х-у)-(х+у)=(х+у)(2х-2у-х-у)=(х+у)(х-3у)
  • Добавить свой ответ

Войти через Google

или

Забыли пароль?

У меня нет аккаунта, я хочу Зарегистрироваться

How much to ban the user?
1 hour 1 day 100 years