• Помогите мне пожалуйста с алгеброй, мне срочно нужно! Буду вам благодарна...

    question img

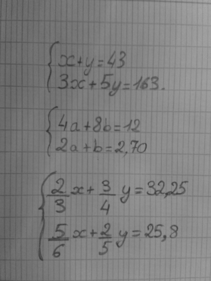
Ответы 1

  • 1). х+у = 43   ⇒у=43-х подставим во второе уравнение системы и получим: 3х+ 5(43-х) =163;  ⇒ 3х+215-5х=163;х=26; у =43-х, у=172) 4а +8в=12;⇒ а=(12-8в):4;⇒а=3-2в, подставлим во второе уравнение системы и получим: 2(3-2в) +в=2,70; 6-4в-в=2,70;3в=3,3; в =1,1;  т.к. а =3-2в, то а=3-2,2; а=0,83) Сначала преобразуем десятичные дроби в неправильные:32,25=32 1/4 = 129/4;   25,8 = 258/10Из первого уравнения получим: 2х/3 = 129/4 -3у/4; ⇒2х/3= (3/4)(43-у); х = (9/8)(43-у). Это выражение для у подставим во второе уравнение: (5/6)(9/8)(43-у)+ 2у/5=258/10; Приведем дроби к общему знаменателю 80 и уберем его у всех членов уравнения:75(43-у)+32у=258·8;   3225у -75у+32у =2064;  43у = 1161, у=27;  х= 9(43-у):8;  х = 9·16:8;  х=18
  • Добавить свой ответ

Войти через Google

или

Забыли пароль?

У меня нет аккаунта, я хочу Зарегистрироваться

How much to ban the user?
1 hour 1 day 100 years