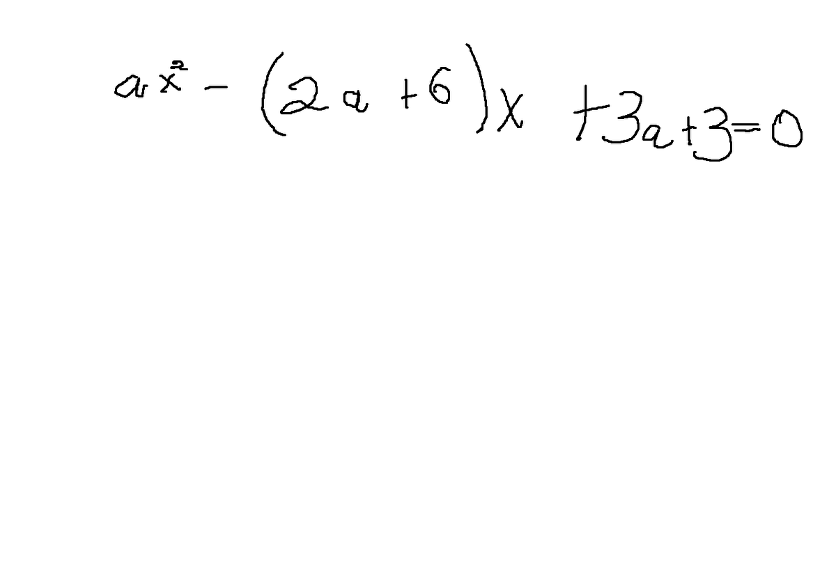
• Найти все параметры a,при которых уравнение имеет единственный корень.

    question img

Ответы 1

  • см. файлтаких значений 2
    answer img
    • Автор:

      jelly81
    • 6 лет назад
    • 0
  • Добавить свой ответ

Войти через Google

или

Забыли пароль?

У меня нет аккаунта, я хочу Зарегистрироваться

How much to ban the user?
1 hour 1 day 100 years