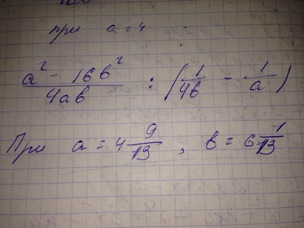
• если что вот а^2-16в/4ав : ( 1/4в-1/а) при а= 4|9/13 в=6|1/13

    question img

Ответы 1

  • а^2-16в/4ав : ( 1/4в-1/а)= (а -4b)(a+4b)/4ab :    (a-4b)/4ab = (a-4b)(a+4b) x 4ab/a-4b)=  =a +4b

    a=4 9/13             b= 6 1/13

    4 9/13 +4(6 1/13) = 4 9/13 + 24 4/13 = 28 13/13 =29

  • Добавить свой ответ

Войти через Google

или

Забыли пароль?

У меня нет аккаунта, я хочу Зарегистрироваться

How much to ban the user?
1 hour 1 day 100 years