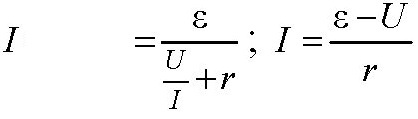
Формула справа - это упрощённый вид формулы слева. Упрощаем постепенно:

Смотрим на формулу. Нам надо выразить "I" так, чтобы никакого другого "I" не оставалось в правой части выражения, а фактически - чтобы вообще другого "I" не было. "I" - "какое-то число", которое получается, если "какое-то число "E" поделить на "какое-то число "(U/I + r)". Нам надо, чтобы оба "I" оказались в одной части выражения. Получается, что для этого нам надо выразить "E":
=E)
Упрощаем дальше. Избавляемся от второго "I" путём раскрытия скобок:

Вот оно, избавление. "I" в знаменателе сокращается с "I" в числителе, и получается:

Вот и всё. Но здесь у нас выражено "E", а не "I". Исправим дело, сначала выразив "какое-то число "I*r":

А дальше, всё просто. "I" умножаем на "r" и получаем "какое-то число "(E-U)". То есть, если его разделить на "r", то мы получим "I"!