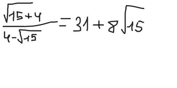
умножил на спряженное к знаминателю.
(sqrt(15)+4)^2=15+16+8sqrt(15)=31+8sqrt(15)
Автор:
kellyvwktДобавить свой ответ
окружность радиус 2 см проведи в этой окружности 2 диаметра и 1 радиус
Предмет:
МатематикаАвтор:
clovergarrettОтветов:
Смотреть
Найдите площадь трапеции с основаниями 6 см и 19 см и боковыми сторонами 12 см и 5 см
6. Какие числа кратные 5, являются решениями неравенства:
1)95<c<100 2)560<e*<562 3)247<c<275
7. 1)Запиши множество трёхзначных чисел, больших 970 и кратных 5.
2)Запиши множество двузначных чисел, больших 87 и не кратных ни 2, ни 5
9. Найди все значения переменной а из множества А = {145, 236, 340, 801, 1294,4567}, при подстановке которых в данное предложение получаются истенные утверждения:
1)Число а делится на 2.
2)Число а делится на 5.
3)Число а делится на 2 и на 5.
4)Число а делится на 2, но не делится на 5.
5)Число а делится на 5, но не делится на 2.
6)Число а не делится ни на 2, ни на 5
Предмет:
МатематикаАвтор:
furballsinghОтветов:
Смотреть
3-метилпентин-1 построить 2 гомолога и 4 изомера
Предмет:
ХимияАвтор:
miguelsuttonОтветов:
Смотреть