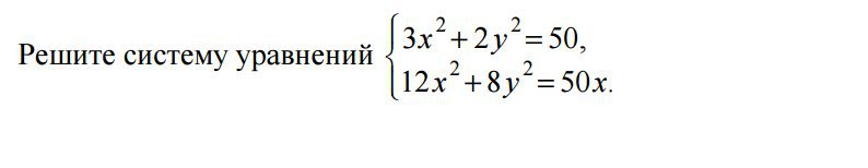
• кааак?? как решить? поробно распишите плиз, желательно в тетради и сфоткать!)))) буду благодарна

    question img

Ответы 1

  • Здесь всё очень просто. Посмотри.из первого уравнения найдём 2у² = 5 - 3х²Теперь во 2-е уравнение 12х² + 4·2у² = 50 х                                        12 х² + 4(5 - 3х²) = 50 х                                         12х² + 20 -12 х² = 50х                                          20 = 50х                                          х = 2/5  Теперь этот х в любое уравнение можно толкать (давай в 1-е, вроде, проще)3· 4/25 + 2у² = 512/25 + 2у² = 52у² = 5 - 12/252у² = 4  13/25=  113/25у² = 113/50у = +- √113/50= +-5/2 ·√226
    • Автор:

      jonás69
    • 6 лет назад
    • 0
  • Добавить свой ответ

Войти через Google

или

Забыли пароль?

У меня нет аккаунта, я хочу Зарегистрироваться

How much to ban the user?
1 hour 1 day 100 years