помогите решить
3)значение какого выражения явл-ся числом рациональным?
а)корень из 27 - корень из 3
б)корень из 24 делить на корень из 8
в) (корень из 5 - корень из 3)и всё в квадрате
г)корень из 3 умножить на корень из 12
Предмет:
АлгебраАвтор:
kelseyrivas3) г)
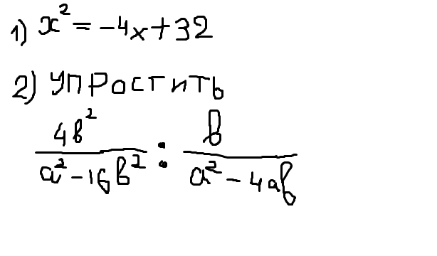
1) x^2+4x-32=0
D=16+128=144=12
x1=-4+12/2=4
x2=-4-12/2=-8
Автор:
carmeloДобавить свой ответ
Заполнить одномерный массив произвольной размерности случайными числами из промежутка [-300;300] и вывести его на экран в строчку, с именем каждого элемента массива и его индексом. Обнулить все элементы кратные 3, но не кратные 5 и вывести измененный массив на экран
Предмет:
ИнформатикаАвтор:
carleyОтветов:
Смотреть
Подскажите в какой Древней стране были сделаны АЛФАВИТЫ,МОНЕТЫ,ШАХМАТЫ,ПИСЬМО,КОМПАС и БУМАГА??
Предмет:
ИсторияАвтор:
sydneyf5kwОтветов:
Смотреть
Сколько граммов фосфата натрия провзаимодействовало с нитратом серебра, если в результате реакции образовалось 209, 5 г фосфата серебра.
в равнобедренном треугольнике ABC с основанием АС биссектриса AD отсекает треугольник CAD, подобный ABC. найдите углы треугольника ABC