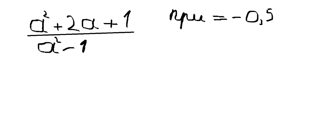
• Сократить дробь и найти его значение При а= -0,5

    question img

Ответы 1

  • (а² + 2а + 1) /(а² - 1) = (а + 1)² / ((а - 1) * (а + 1)) = сократив на (а + 1) , получим = (а + 1) / (а - 1) А теперь в последнее подставим а = - 0,5 получаем (- 0,5 + 1) / (- 0,5 - 1) = 0,5/(- 1,5) = - 5/15 = - 1/3
    • Автор:

      barron
    • 6 лет назад
    • 0
  • Добавить свой ответ

Войти через Google

или

Забыли пароль?

У меня нет аккаунта, я хочу Зарегистрироваться

How much to ban the user?
1 hour 1 day 100 years