• Найти значение выражение(см во вложениях) Помогите пожалуйста я не понимаю как такие решать:(

    question img

Ответы 2

  • Спасибо большое всё очень понятно теперь думаю не возникнет проблем:)
    • Автор:

      rylie17
    • 6 лет назад
    • 0
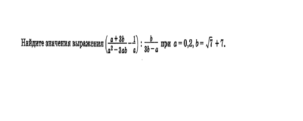
  • Друг мой в таких примерах надо уметь разбираться , постараюсь тебе подробно объяснить:((а+зв)/а²-3ав  -1/а):в/3в-а при а=0,2  в=√7+7 Решаем по действиям: 1) действие в скобках, 2) действие деление.1) (а+3в)/а²-3ав  - 1/а=( разложим знаменатель первой дроби на множители)==(а+3в) /а(а-3в)  -1/а=( общий знаменатель: а(а-3в) )=( расставляем дополнительные множители: к 1 дроби будет  1, ко 2 дроби:(а-3в))==( умножаем дополнит. множитель на числители и записываем всё под одним знаменателем)= а+3в-а+3в / а(а-3в)=( приводим подобные в числителе)= 6в /а(а-3в)2) То, что получилось в 1 действии разделим на данную дробь:6в/а(а-3в) : в/(зв-а)=( поменяем действие деление на умножение , при этом во 2 дроби поменяем местами числитель со знаменателем)==6в/а(а-3в) ×(3в-а)/в=(что бы сократить в знаменателе 1дроби вынесем знак (-) за скобку и поменяем местами слагаемые))= =6в/ (-а)(3в-а)×(3в-а)/в=( сокращаем равные множители)=- 6/аПодставим в полученное выражение, значения а =0,2-6/а=-6:0,2=-30.Ответ:-30 Немного понятно стало? Удачи тебе.
    • Автор:

      kareem
    • 6 лет назад
    • 0
  • Добавить свой ответ

Войти через Google

или

Забыли пароль?

У меня нет аккаунта, я хочу Зарегистрироваться

How much to ban the user?
1 hour 1 day 100 years