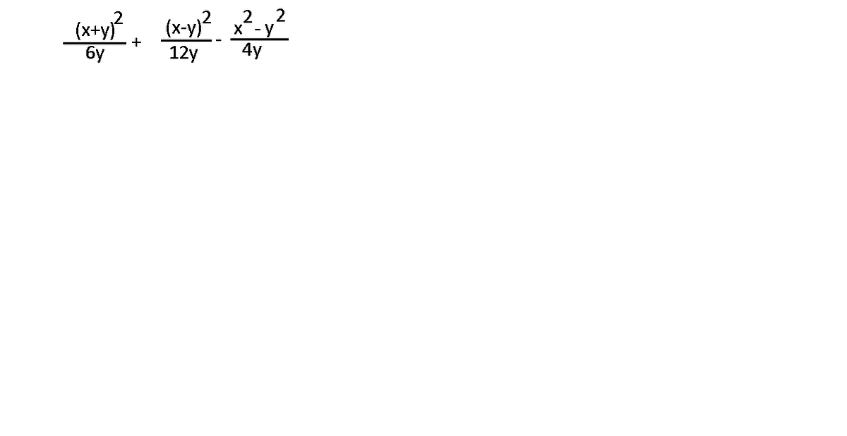
• Решите пожалуйста по алгебре 11111111111111111111111111111111

    question img

Ответы 1

  • как-то так, в кружечке это типо я считала числитель, ответ у меня вышел 0.5у+1/3x
    answer img
  • Добавить свой ответ

Войти через Google

или

Забыли пароль?

У меня нет аккаунта, я хочу Зарегистрироваться

How much to ban the user?
1 hour 1 day 100 years