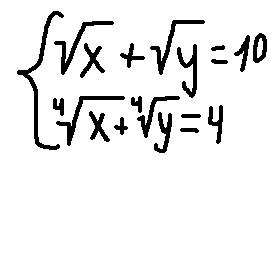
Решить систему √х+√у=10 √4степени х+√4степени у=4
Подсказка: во втором уравнении обе части возвести в квадрат
Предмет:
АлгебраАвтор:
gabriel955Дальше можна подобрать
(1; 81); (81;1)
Автор:
rubiwilkinsonДобавить свой ответ
Допоможіть розібрати слово вовчисько за будовою.. Закінчення "о", основа "вовчиськ", "иськ" - суфікс.... а от "ч"належить до кореня, чи до суфікса??
Предмет:
Українська моваАвтор:
rachaelgispОтветов:
Смотреть
а) cos x/3 = -1/2 б) ctg ( - x/2) = 1 в) tg ( п/4 - x/2)= -1 г) sin x/2 - п/6 = -1 д) cos ( п/6 - 2x) = -1
Закончите уравнение реакции:
1. Na2O + HCl =>
2. Mg(OH)2 + SO3 =>
3. CaO + Na2SO4 =>
4. K2SO3 + HCl =>
5. MgCl2+ NaOH =>
6. MgO + SO3 =>
7. CuSO4 + BaCl2 =>
8. HNO3 + Na + SO3 =>
9. CaO + H2O =>
1) Прочитай текст. Как разделить между шестью мальчиками 5 яблок так, чтобы ни одно яблоко не разрезать больше чем на 3 части? 2) сделай рисунок, соответствующий решению. 3) Можно ли использовать найденное решение, чтобы разделить 11 яблок между двенадцатью детьми? А 10 яблок? Если тебе это удалось, опеши найденный способ.
Предмет:
МатематикаАвтор:
greaseОтветов:
Смотреть