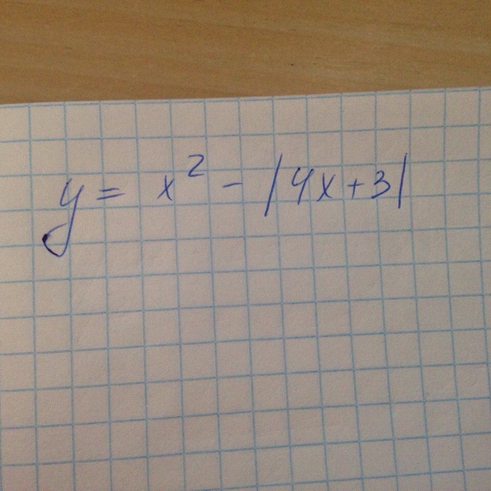
• Помогите, пожалуйста, с графиком. Как его строить? Желательно с фотографией решения.

    question img

Ответы 1

  • нужно раскрыть модуль (по определению)))и получится две части плоскости и два графика (обе --параболы, ветви вверх))):для x < -3/4и для x >= -3/4
    answer img
  • Добавить свой ответ

Войти через Google

или

Забыли пароль?

У меня нет аккаунта, я хочу Зарегистрироваться

How much to ban the user?
1 hour 1 day 100 years