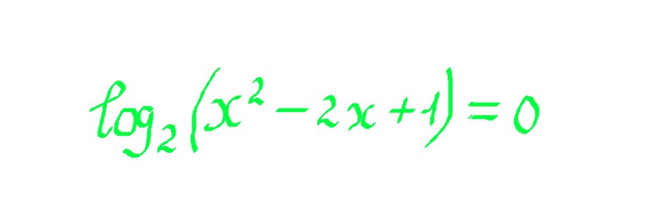
• Прошу решить логарифм с полным решением)) За ранее спасибо!)

    question img

Ответы 1

  • Спасибо, а то забыл как правильно надо, шаблон теперь есть))
    • Автор:

      jollymnbx
    • 6 лет назад
    • 0
  • Добавить свой ответ

Еще вопросы

Войти через Google

или

Забыли пароль?

У меня нет аккаунта, я хочу Зарегистрироваться

How much to ban the user?
1 hour 1 day 100 years