РЕБЯТА,ПОМОГИТЕ РЕШИТЬ ПРАВИЛЬНО , ПОЖАЛУЙСТА ВЛОЖЕНИЕ, ПРОСТО СРОЧНО НАДО ОЧЕНЬ ПОМОГИТЕ)
Предмет:
АлгебраАвтор:
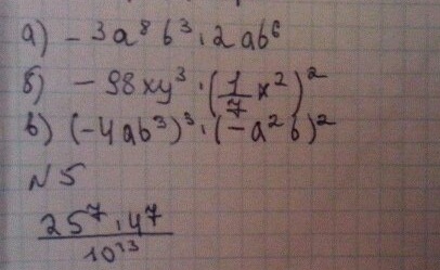
cleofásmnwvа)-6а в 9 степениb3*2а b в 6 степени
б)-98ху3 * хв4/14=-98х5у3/14 подели остальноу щас поробую
в)-12а3b9*а4b2=-12a7b11
№5 (5 в 2)в7 * (2 в 2)в7/(5*2) в 13= 5 в 14* 2 в 14 * 5в -13 *2 в-13= 5*2=10
Автор:
bernardq60fa) -6a⁹b⁹
б) -98xy³(1/49)x⁴=2x⁵y³
в) -64a³b⁹a⁴b²=-64a⁷b¹¹
№5
((5²)⁷*(2²)⁷)/2¹³*5¹³=5¹⁴*2¹⁴/2¹³*5¹³=5*2=10
Автор:
davis17Добавить свой ответ
Определите вид треугольника,углы которого равны:24;137;19.
Предмет:
МатематикаАвтор:
tristonlzksОтветов:
Смотреть
вислів це все одно щона вербу по груші лізти означає?
Предмет:
Українська літератураАвтор:
paytongca3Ответов:
Смотреть
Затронула ли Россию электронная революция? В чем это выражается? Приведите примеры.
Предмет:
ОбществознаниеАвтор:
willisОтветов:
Смотреть
В треугольнике АВС угол A тупой,BK и CD-высоты BK-12 см,AK-9 см,CD-10 см .найти AD.
Предмет:
ГеометрияАвтор:
shadowgiynОтветов:
Смотреть