• Выполните умножение! Пожалуйста! (алгебра. 7 класс)

    question img

Ответы 5

  • в последнем примерчике минус ))
    • Автор:

      slyriddle
    • 6 лет назад
    • 0
  • спасибо)....
    • Автор:

      isabella
    • 6 лет назад
    • 0
  • Большое спасибо!
  • Большое спасибо!
    • Автор:

      macynd6w
    • 6 лет назад
    • 0
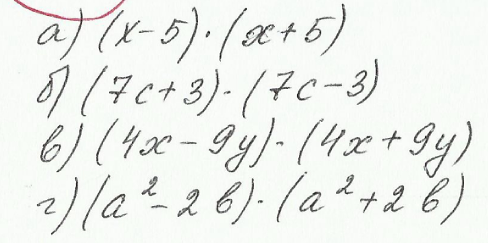
  • здесь применяется формула  a^{2} - b^{2} =(a-b)*(a+b)(x-5)(x+5)= x^{2} -25(7c+3)(7c-3)=49 c^{2} -9(4x-9y)*(4x+9y)=16 x^{2} -81 y^{2} (a ^{2}-2b)( a^{2} +2b)= a^{4} -4 b^{2}
    • Автор:

      fionaufh8
    • 6 лет назад
    • 0
  • Добавить свой ответ

Войти через Google

или

Забыли пароль?

У меня нет аккаунта, я хочу Зарегистрироваться

How much to ban the user?
1 hour 1 day 100 years