• Построить график функции:
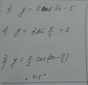
    y=2cos3x-5
    y=2cos3x-5
    y=1/2 cos(2x-п/2)

    question img

Ответы 3

  • Спасибо огромное, можете сделать чертежи?
  • "Построение графиков онлайн", 1 ссылка. Не забудьте поставить галочку "В Пи", что бы правильная работа была..
    • Автор:

      budkzar
    • 6 лет назад
    • 0
  • Строим стандартную косинусоиду.Коэффициент перед cos означает, что функция будет растянута относительно оси ординат в n раз; коэффициент перед x - сжатие вдоль оси абсцисс в k раз, к оси ординат, иными словами; -5 после х, без скобок, означает , что график опускается на 5 вдоль оси ординат, П\2 со скобками означает сдвиг вдоль оси абсцисс вправо на П\2.
    • Автор:

      irwin
    • 6 лет назад
    • 0
  • Добавить свой ответ

Войти через Google

или

Забыли пароль?

У меня нет аккаунта, я хочу Зарегистрироваться

How much to ban the user?
1 hour 1 day 100 years