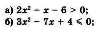
• Распишите пожалуйста эти два примера!
    p.s не нужно копировать решение с готовок!

    question img

Ответы 2

  • чё-то как-то с готовок... Просто D не написала...
    • Автор:

      swanson
    • 6 лет назад
    • 0
  • Получится вот так :)
    answer img
    • Автор:

      hamlet
    • 6 лет назад
    • 0
  • Добавить свой ответ

Еще вопросы

Войти через Google

или

Забыли пароль?

У меня нет аккаунта, я хочу Зарегистрироваться

How much to ban the user?
1 hour 1 day 100 years