• Не могу никак разобраться с логарифмическим неравенством, прошу помощи подсказать как лучше решать его! Уже извелась вся...(

    question img

Ответы 4

  • Всё понятно, кроме одного - последний логарифм(который стоит после знака неравенства) имеет основание 1/2, насколько я знаю для того чтобы избавиться от дроби, мы её переворачиваем и получаем 2 в минус первой, этот минус нужно вынести за знак логарифма. Или есть где-то ошибка в моих рассуждениях?
  • Все так, но там стоит квадрат, который съедает минус.
    • Автор:

      aleah
    • 6 лет назад
    • 0
  • а, точно, спасибо большое))
    • Автор:

      barley
    • 6 лет назад
    • 0
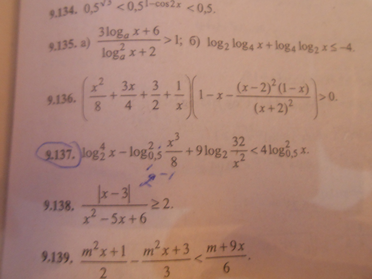
  • \log_2^4x-\log^2_{1/2}\frac{x^3}{8}+9\log_2\frac{32}{x^2}\ \textless \ 4\log^2_{1/2}x\\
\log^4_2x-(\log_2x^3-\log_28)^2+9\log_232-18\log_2x\ \textless \ 4\log^2_2x\\
\log^4_2x-9\log^2_2x-9+18\log_2x+45-18\log_2x-4\log_2^2x\ \textless \ 0 \\
\log_2^4-13\log_2^2x+36\ \textless \ 0 \\
\log_2x=t\\
t^4-13t^2+36\ \textless \ 0 \\
t_1=-2, t_2=2, t_3=-3, t_4=3 \\
t \in (-3, -2) \cup (2, 3) \\
1) -3 \ \textless \  \log_2x \ \textless \  -2\\
2) 2\ \textless \ \log_2x\ \textless \ 3 \\
\\
x \in (\frac{1}{8}, \frac{1}{4}) \cup (2, 8)
    • Автор:

      nikolas
    • 6 лет назад
    • 0
  • Добавить свой ответ

Войти через Google

или

Забыли пароль?

У меня нет аккаунта, я хочу Зарегистрироваться

How much to ban the user?
1 hour 1 day 100 years