• Помогите разобраться с интервалом и пароболой
    P.S мне нужно 1 и 2 решение

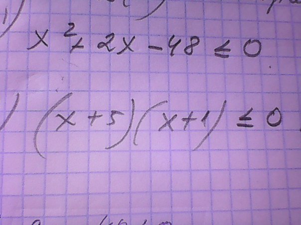
    question img

Ответы 2

  • Спасибо))
    • Автор:

      tinky
    • 6 лет назад
    • 0
  • смотри приложенный файл
    answer img
  • Добавить свой ответ

Войти через Google

или

Забыли пароль?

У меня нет аккаунта, я хочу Зарегистрироваться

How much to ban the user?
1 hour 1 day 100 years