• решить , решение полное надо с одз и т.д
    ____________

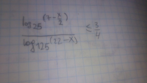
    question img

Ответы 5

  • в решение полностью уверены?
  • Решение верное.
    • Автор:

      bandit67
    • 6 лет назад
    • 0
  • Да
  • ОДЗ:7 - \frac{x}{2} \ \textgreater \ 0; \ \Rightarrow \  - \frac{x}{2}\ \textgreater \ -7 \ \Rightarrow \  \frac{x}{2} \ \textless \ 7 \ \Rightarrow \  x\ \textless \ 14 \\ 22-x\ \textgreater \ 0 \ \Rightarrow \  -x\ \textgreater \ -22 \ \Rightarrow \  x\ \textless \ 22 \\ \\ \boxed{x\ \textless \ 14} \\\\\\\\ \frac{\log_{5^2}(7 - \frac{x}{2})}{\log_{5^3} (22-x)} \leq \frac{3}{4}; \\ \\ \frac{\frac{1}{2} \cdot \log_5(7 - \frac{x}{2})}{\frac{1}{3} \cdot \log_5 (22-x)} \leq \frac{3}{4}; \ \ \ \ \  \frac{3 \cdot  \log_5(7 - \frac{x}{2})}{2 \cdot \log_5 (22-x)} \leq \frac{3}{4}; \\ \\ \frac{3 \cdot  \log_5(7 - \frac{x}{2})}{2 \cdot \log_5 (22-x)} \leq \frac{3}{4};  \ \ \ \ \frac{\log_5(7 - \frac{x}{2})}{ \log_5 (22-x)} \leq \frac{1}{2};  \\ \\ \frac{2\cdot  \log_5(7 - \frac{x}{2})}{ \log_5 (22-x)} \leq 1; \ \ \ \ \frac{2\cdot  \log_5(\frac{1}{2} \cdot (14 - x))}{ \log_5 (22-x)}-1 \leq 0; \\ \\  \frac{2\cdot (\log_5\frac{1}{2} + \log_5(14 - x))-\log_5 (22-x)}{ \log_5 (22-x)} \leq 0; \\ \\  \frac{\log_5\frac{1}{4} + \log_5(14 - x)^2-\log_5 (22-x)}{ \log_5 (22-x)} \leq 0; \log_5 (22-x) eq 0 \ \Rightarrow \ \log_5 (22-x) eq \log_5 1 \ \Rightarrow \ 22-x eq 1 \\ x eq 21\log_5\frac{1}{4} + \log_5(14 - x)^2-\log_5 (22-x) = 0  \\ \\ \log_5(\frac{(14-x)^2}{4 \cdot (22-x)})=0 \\ \\ \log_5(\frac{196 -28x+x^2}{88 -4x})=\log_5 1 \\ \\ \frac{196 -28x+x^2}{88 -4x}=1; \ \ \ \frac{196 -28x+x^2}{88 -4x}-1=0; \ \ \ \ \frac{196 -28x+x^2-88+4x}{88 -4x}=0 \\ \\ x^2-24x +108=0; \ \ \ \ x_{1,2}=\frac{24 \pm \sqrt{576-342}}{2}=\frac{24 \pm 12}{2}; \\\\ x_1=18, \ \ \ x_2=6; \ \ \ \  88-4x eq 0 \ \Rightarrow \ 4x eq 88 \ \Rightarrow \ x eq 22        +               —            +                —         +                     --------------*----------------*-------------o------------o-------->x               6                  18             21             22  x \in [6; 18] \ \cup \ (21;22)C учетом ОДЗ:x\ \textless \ 14; \ \ \ 6 \leq x \leq 18; \ 21<x<22 \\\\ \boxed{6 \leq x\ \textless \ 14 \ \ \RIghtarrow \ \ x \in [6;14)}
  • Решение смотрите в приложени.....
    answer img
    • Автор:

      pasha84
    • 6 лет назад
    • 0
  • Добавить свой ответ

Войти через Google

или

Забыли пароль?

У меня нет аккаунта, я хочу Зарегистрироваться

How much to ban the user?
1 hour 1 day 100 years