• Помогите решить...Пример Распишите.Заранее Спасибо!

    question img

Ответы 2

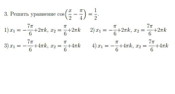
  • cos( \frac{x}{2}-  \frac{ \pi }{4})= \frac{1}{2} \\  \\   \frac{x}{2}-  \frac{ \pi }{4}=\pm arccos \frac{1}{2}+2 \pi k,k\in Z \\  \\  \frac{x}{2}-  \frac{ \pi }{4}=\pm  \frac{ \pi }{3}+2 \pi k,k\in Z \\  \\ \frac{x_1}{2}-  \frac{ \pi }{4}= \frac{ \pi }{3}+2 \pi k,k\in Z  \\ \\\frac{x_2}{2}-  \frac{ \pi }{4}=- \frac{ \pi }{3}+2 \pi k,k\in Z \\ \\ \ x_1=  \frac{ 2\pi }{4}+ \frac{2\pi }{3}+4 \pi k,k\in Z  \\ \\ x_2=  \frac{ 2\pi }{4}- \frac{2 \pi }{3}+4 \pi k,k\in Z \\x_1=  \frac{ 7\pi }{6}+4 \pi k,k\in Z  \\ \\ x_2= - \frac{ \pi }{6}+4 \pi k,k\in Z \\Правильный ответ. 4)
  • решение смотри на фотографии
    answer img
    • Автор:

      toribio
    • 6 лет назад
    • 0
  • Добавить свой ответ

Войти через Google

или

Забыли пароль?

У меня нет аккаунта, я хочу Зарегистрироваться

How much to ban the user?
1 hour 1 day 100 years